Abbott Analytical Products



Technical Discussion Continued

Contents of Page

This web page contains a set of continueing technical discussion sections that attempt to establish Charge/Discharge characteristics of the Floating Gate Electron Reservoir Power Source. This discussin starts with the individual cell unit and propagates to the macro-assembly level.










Cell Level Discharginging:

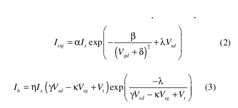
Image Comment
Charging (FN)

Discharging (IHEI)
The Rahimia team's technical paper "A SIMULATION MODEL FOR FLOATING-GATE MOS SYNAPSE TRANSISTORS (page 2) published through the University of Washington provides a simulation model for the 3.5 um CMOS process. The model is a grwoth in complexity from the Cullinan Thesis model introduced earlier. The Rahimi team simulation model address both charging and discharging modes.

FN: Charging The Fowler-Nordhiem parametrs provided in the Cullinan thesis closely matchs those of the Rahimi abstract. As such the Rahimi parameters shown should be fairly close for this iterration and maturity of design for the Floating Gate Electron Reservoir Power Source. The Rahimi presentation clearly states that the FN tunneling process removes electrons by means from the gate.

IHEI: Discharging The IHEI, impact-ionized hot-electron injection, equations and parameters were derived from emperical work by the Rahimi team. The IHEI process as described by the Rahimi's article adds electrons to the floating gate.
Ibid.Fig 2 of the Rahimi team's presentation shows the model rendered as a tunneling entity on the left and an injection entity on the right. The two process entities are coupled together via the floating gate. The Floating Gate Electron Reservoir Power Source simulation model discharging mode owes a great deal to the Rahimi effort.
Ibid. Rahimi Fig 3,4, 5, and 6 page 3 presents a set of resulting simulation plots showing the proceeds of the Rahimi's team effort.

Note that the parameters used in the simulations and analysis of the Floating Gate Electron Reservoir Power Source project were dervied from the earlier Cullinan's Thesis and these four graphs.
Abbottanp value added begins again at this junction.
Symbol Model



Spreadsheet
The parameters derived from the Cullinan and Rahimi presentation appear in the symbol model, discharge mode setup, and in various spreadsheet wargame analyses.
Preliminary
Symbol Model

Discharge Setup
Inputs involving IHEI discharging derived from the Rahimi team's presentation were merged with those acquired from the Cullinan Thesis FN-tunneling charging of the floating gate (schematic/symbol model and the simulation test setup). This model and simulation development was performed using QUCS Equation Design Devices, and dependent sources.

Critical to this effort was the realization that the floating gate once charged was serving as the powersource for the discharge. That demanded a bit of creative thinking and further study. QUCS did not have a 'ready made' power source to assume this role.
Lost
After a suitable period of attempts using available QUCS components (EDD and dependent source devices) the search a solution moved to a wider scope.

Found
It appeared that the most likely pathway forward involved the adaption of an LTSpice model for Lithium-Ion batteries. One pathway forward was presented in a youtube video Model Lithium Ion Battery with LTspice by Mike Trupiano. His presentation provided an excellent discussion regarding battery theory as well as models for simulation. His chosen simulation tool was LTSpice. In responding to a viewer requesting for the LTSpice simulation netlist, Trupiano provided the complete project's documentation of the simulation model. That "netlist" excuted without issue in a session of the LTSpice application. To be useful for the Floating Gate Electron Reservoir Power Source project the 'Battery's netlist' provided by Trupiano required a conversion to QUCS simulation syntax. The beauty of Trupiano's simulation model is that the discharge profile promised an appropriate mechanism demonstrating the decay of battery capacity.

For a better understanding of the Trupiano LTSpice model and how it was rendered into a QUCS model refer to the following references:
  • Techniques of LTSpice Controlling Dependent Sources using CCVS of QUCS.
  • QUCS-Help Chapter 4 Figure 4.8 showing utilization of EDD regarding charge values for Q and Figure 4.10 for usage of Equation defined source.
  • QUCS-Help Chapter 5 Table 5.1 showing model access syntax and (5.1) behavioural B-type SPICE voltage or current source.
  • Useful QUCS Time -DomainSmulation
  • introduces an approach for replicating capacitor discharge.
The translation of the Trupiano's simulation model exhibited three voltage states (Full, Half, and Empty voltage levels). It also offered the opportunity to explore the "decay of the floating gate overtime" should it need ot be examined in the future.

Spreadsheet

QUCS Equations
A suitable symbol representing a charged Floating Gate of the Floating Gate Electron Reservoir Power Source device was created. The model was integrated into the Floating Gate Electron Reservoir Power Source device. This allowed the usage of Parameter Sweep QUCS simulations under very fast time transisitons of (drain and source) voltage pulses. For the Parameter Sweep parameters of interest were the Floating Gate Voltage at Full and Half. The other parameter that was needed was the sweeping of the Floating Gate's current in the Full and Half states. These specific conditions were set and and controlled using the "list" input feature of the QUSC Parameter Sweep simulation.
First Workable Ballpark
Derived IHEI Model
Simulation Test
After finally reaching a schematic/model which provided 'ballpark' simulation of the IHEI contribution for discharging/erasing a project simplication decision was made. At this point in the project the contribution of the current cource from the well to the drain is going to be ignored. This decision/assumption will lead to a more conservative simulation estimate. As the project matures this decision may be re-visited.
TBD







Cell Level Monitoring:

Image Comment
Three Sources




Consolidate Read
Technical literature offers many read process which vary slightly. Using experience gained from creating and simulating charging and discharging the task was shortened a bit. Unlike using a true FGMOSFET memory device the project is not concerned with determining any stored data as using the voltage level or density of ele ctectons stored in the charge trap (Floating Gate Electron Reservoir Power Source). We need to know in which of three states a cell's floating gate is. It can either be Empty, Half Full, or Full. From earlier work we know what the voltages and the current (charge) is in the three states.

Vsource Vdrain Vgc Vbulk Vfg V Iihei A Qty Electrons Charge-Effect
0 V 3 V 3 V 0 V .7 .001 Few Empty Opens Isource
0 V 3 V 3 V 0 V 1.63 2.83e-8 Partial Qty Half Impedes Isource
0 V 3 V 3 V 0 V 2.48 1.5e-11 Many Full Inhibits Isource



The true qunatity of charge stored in the Floating Gate Electron Reservoir Power Source or its voltage can not be read directly. But these values can be inferred by pulsing the drain and the control gate for a short duration at a "relatively" high voltage of 3 Volts. Just before the pulses began, the monitoring/reading current at the source was begun. The readings collected when the FGERPS is full, half full, and empty will be different.
Basic FGMOSFET Cell
A static view of what is happening during a read/monitor process may not be as helpful as an animated or video presentation. However, the time to produce such and artifact is outside the scope of this project.

Read/Monitor of Floating Gate Charge
Read Full Read Half Read Empty


For an excellent video presentation regarding a basic functional at the substrate electron level vantage point:
View Animated Reading Skip to 3:20, and 9:11
https://www.youtube.com/watch?v=YtBysgPOKx4
Read/Monitor
Schematic & Symbol



Simulator Data
A spike was commisioned to look into how a read/monitor process might be represented in a QUCS schematic. The intention was to put all of the components, transients, parameter sweeps, etc. in one schematic for simulation. The expectation was that the FGERPS team could employ knowledge previously obtained from charge and discharge, employ one or more Equation Defined Devices, insert a Current Control Voltage Supply, and a set of Read critieria to "observe indirectly" Full Charged, Half Charged, and Empty Charge states of the Floating Gate Electron Reservoir Power Source.
Read/Monitor
Model & Test Setup



Output Fails to Show
Read on Isource.It
Once the "spike" verified that a QUCS schematic could be generated that allowed for the simulation of the indirect read/monitor of the Floating Gate charge using the current reading from the Source everything look just about done. However, between development of the Model of the Read/Monitor schematic and the insertion of it into the simulation test setup it appears that the "QUCS recipe was lost". The expected Isource.It reading for reading the Half Charge and the Full Charge failed. It is suspected that the most likely source of this failuer is due to the level of experience with QUCS, since the spikedemonstrated that the elements of the read/monitor when assmbled as one monothlic schematic beheved exactly as anticipated.

Further work to resolve this anomaly will continue as time and new knowledge is acquired.
TBD
TBD













Primitive Celluar Organization:

Image Comment
FGMOSFET
Planar View at Gate Level

Refer to the FreeCad section of the Details page for an overview of primitive celluar orgaization of the Floating Gate Electron Reservoir Power Supply. Further work awaits peer review of Discharge and Monitor processes.
TBD














Macro Celluar Organization:

Image Comment
Refer to the FreeCad section of the Details page for an overview of primitive celluar orgaization of the Floating Gate Electron Reservoir Power Supply. Further work awaits peer review of Discharge and Monitor processes.
TBD









NOTICE: This site was fabricated for best viewing using Netscape 4.x, or a functionally equivalent browser.


Please send comments or questions using e-mail, voice telephone at 919-846-7705. (Last update: Feb 19, 2023 tar)